由公司研究生杨群(第一作者),指导教师沈阳地质调查中心公繁浩教授级高级工程师(通讯作者)与我馆/院梁飞副教授(共通讯作者)合作研究,揭示了松辽盆地西部斜坡区的湖侵事件与孢粉植物群演变的关系,该研究成果已发表在地质学类专业期刊Cretaceous Research(白垩纪研究,2024年8月,公司A类期刊,Doi:https://doi.org/10.1016/j.cretres.2024.105971)。


(图1) (图2)
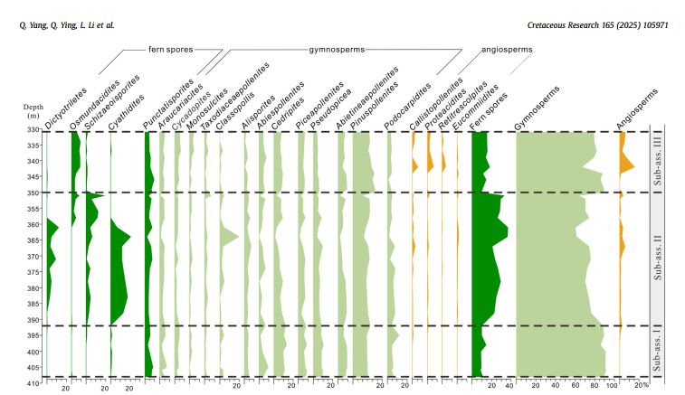
松辽盆地是我国东北地区最大的含油气沉积盆地,但其西部斜坡区的油气储藏、矿产资源及地层关系的研究较为匮乏。为探明该区域的油气、矿产及地层等综合问题,由中国地质调查局沈阳地质调查中心主导,在松辽盆地西部斜坡区,开展了相关地质钻井的项目及其相关研究,其中吉洮地1井位置如图1所示。本研究针对吉洮地1井嫩江组1段的钻井样品,利用孢粉分析实验,共识别出56属71种孢粉型(图2)。结合主成分分析PCA(图3)和SEG模型(图4),分析了松辽盆地西部斜坡区湖侵事件前后孢粉含量的变化(图5),并讨论我该事件与孢粉变化的关系,以及与全球大洋缺氧事件(Santonian,OAE3)之间的关系,为我们开展松辽盆地西部斜坡区的孢粉地层、古气候环境演变及地质矿产资源的勘探,提供了重要的理论基础和孢粉学证据。


(图3)PCA (图4)SEG

(图5)孢粉Tilia图
全文引用(链接):
Yang, Q., Ying, Q.E., Li, L.Q., Zhang, J., Gong, F.H.*, Sun, S.L., Wang, H.S., Tan, X., Liang, F.**, 2024. Palynological evidence for the Late Cretaceous lake transgression event in the Songliao Basin, NE China. Cretaceous Research, 165:105971. https://doi.org/10.1016/j.cretres.2024.105971.